The thyroid gland, a small butterfly-shaped organ located at the base of the neck, plays a pivotal role in regulating metabolism, energy production, and overall health. Thyroid hormones, primarily thyroxine (T4) and triiodothyronine (T3) influence nearly every cell in your body. When thyroid function is out of balance, it can lead to many symptoms and health issues, including fatigue, weight changes, mood disturbances, and metabolic dysfunction. This comprehensive guide provides actionable steps to optimize thyroid hormone health, drawing from endocrinology and functional medicine perspectives.
N.b. This article is intended as an international self-study guide. It does not replace or provide medical advice or treatment. Do not start any supplement or herb without first evaluating possible interactions with drugs. Always discuss the treatment of thyroid diseases with your doctor.
Understanding Thyroid Function
The negative feedback loop or system strictly regulates the production of thyroid hormones. The hypothalamus in the brain secretes a hormone that stimulates the pituitary gland, which secretes the thyroid-stimulating hormone thyrotropin (TSH). This stimulates the synthesis of thyroid hormones, the binding of iodine and the release of T3 and T4 into the circulation. When the secretion of these hormones fulfills the body's needs, they send signals back to the hypothalamus and pituitary gland, reducing the production of TSH and thyrotropin-releasing hormone (TRH).
This regulatory system is known as the hypothalamus-pituitary-thyroid axis (HPT axis). This regulation system may be disrupted in some cases, such as chronic illnesses and infections. When the iodine intake from food is sufficient, the regulation is usually balanced. Consistently elevated TSH levels caused by iodine deficiency may lead to an enlarged thyroid gland (goiter). Thyroid hormones affect various tissues via thyroid receptors (TR). (1-2) See the image below.
Common Thyroid Disorders
Hypothyroidism:
An underactive thyroid is characterized by insufficient thyroid hormone production. Common causes include Hashimoto's thyroiditis (an autoimmune condition), iodine deficiency, and certain medications. Also exposure to various toxins can cause hypothyroidism. Chronic stress may lead to lowered thyroid function in many cases. In some cases, hypothyroidism is caused by non-thyroidal illness syndrome (NTIS). Symptoms include fatigue, weight gain, cold intolerance and depression.(3-4)
Hyperthyroidism:
Hyperthyroidism involves the overproduction of thyroid hormones. Causes include Graves' disease, thyroid nodules, and inflammation of the thyroid gland. Symptoms can include weight loss, anxiety, and a rapid heartbeat. Other signs include heat intolerance, hand tremors, and trouble sleeping. Treatment may involve medication to control hormone levels, radioactive iodine, or surgery.(5)
Thyroid Nodules and Cancer:
Thyroid nodules are growths on the thyroid gland. Though some may produce excess hormones, many nodules are benign and do not cause significant problems. Specific nodules may be malignant, indicating thyroid cancer. Treatment often includes surgery, radioactive iodine or targeted therapies. Early detection and evaluation are important to guide effective management.(6)
IODINE AND THYROID HORMONES
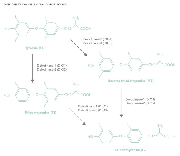
Iodine is required, particularly for the synthesis of thyroid hormones. It also has an important role in promoting normal growth and the development of the nervous system and in metabolism, such as protein synthesis and enzymatic activity.(7) Iodine constitutes 65 % of the thyroid hormone T4 (thyroxine) and 59 % of T3 (triiodothyronine) mass. Thyroxine contains four iodine atoms, whereas triiodothyronine contains three. When producing thyroid hormones, the thyroid captures iodine from circulation. It then binds the iodine to thyroglobulin. This is then used to form thyroid hormones according to the body's needs. The hormones are released into circulation or stored in the thyroid.(8)

Deiodinases are selenoenzymes that catalyze the deiodination (iodine removal) of iodothyronines. DIO1 and DIO2, in particular, catalyze the deiodination of thyroxine (T4), creating biologically active triiodothyronine (T3). DIO3 inactivates T3 and T4 by removing an iodine atom from the innermost ring.
The thyroid uses approximately 70-80 micrograms of iodine per day to synthesize thyroid hormones. Globally, iodine deficiency is relatively common, particularly in children. Iodine deficiency also occurs in adults, particularly in areas where the iodine levels in the soil are significantly lower (including Finland and Northern Europe). It has been estimated that up to 30 % of the world's population suffers from iodine deficiency. In the past 30 years, individuals' iodine levels have decreased by as much as 50 %.(9-10)
Severe iodine deficiency may cause stunted growth and development, mental retardation, hypothyroidism or goiter. Iodine deficiency may develop rapidly once the daily iodine intake falls below 20 micrograms.
Steps to prevent iodine deficiency have been taken globally by adding iodine to salt. However, the amounts used are negligible, considering the levels adequate for good health. Using iodized salt is barely sufficient to prevent the development of iodine deficiency.(11-12)
One can test iodine levels and intake by running a separate iodine test from urine. Over 90 % of the iodine consumed exits the body in urine within two days. International criteria (WHO, 2007) have been established for iodine levels in urine samples.
In addition to iodine, the normal secretion, production and activation of thyroid hormones also require iron, vitamin A, vitamin D, selenium, zinc and the amino acid tyrosine. Vitamin A functions in various tissues via the retinoic acid receptor (RAR), retinoid X receptor (RXR) or vitamin A receptor (STRA6). The retinoid X receptor is needed to activate the vitamin D receptor. Due to this, a sufficient intake of vitamins A and D has synergistic benefits in the target tissue. Among others, the thyroid hormone receptors (TRs) are fully activated when the intake of these two vitamins is sufficient.(13)
Nutritional Strategies for Thyroid Health
Essential Nutrients
-
Iodine:
- Iodine is a critical component of thyroid hormones. Without sufficient iodine, the thyroid cannot produce enough T4 and T3. Best sources include iodized salt, seaweed (e.g., kelp, nori), seafood, and dairy products. However, excessive iodine can also disrupt thyroid function, so balance is key.(14)
-
Selenium:
- Selenium is essential for converting T4 to T3 and helps protect the thyroid gland from oxidative damage. Excellent sources include Brazil nuts (1-2 per day, which provide the recommended daily intake), sunflower seeds, fish and eggs.(15)
-
Zinc:
- Zinc is involved in thyroid hormone synthesis and TSH regulation. Deficiency can impair thyroid function. Zinc-rich foods include shellfish, red meat, pumpkin seeds, and legumes.(16)
-
Iron:
- Iron is necessary for the activity of thyroid peroxidase, an enzyme involved in thyroid hormone production. Iron deficiency anemia is common in individuals with hypothyroidism, especially in women. Sources include red meat, organ meats, spinach, parsley and lentils.(17)
-
Vitamin D:
- Vitamin D supports immune function and may help reduce the risk of autoimmune thyroid conditions like Hashimoto's thyroiditis. Sun exposure, fatty fish (e.g., salmon, mackerel), and fortified foods are good sources. Supplementation may be necessary if levels are low.(18)
-
Omega-3 Fatty Acids:
- Omega-3s reduce inflammation, which is particularly important, especially in autoimmune thyroid conditions. Sources include fatty fish (e.g., salmon, sardines), fish oil, and less-potent ALA-containing flaxseeds, chia seeds, and walnuts.(19)
Foods to Avoid
-
Goitrogens:
- Goitrogens are compounds (such as glucosinolates and isothiocyanates) found in cruciferous vegetables (e.g., broccoli, cauliflower, kale) and soy products that can interfere with thyroid function by inhibiting iodine uptake. Cooking these foods reduces their goitrogenic effect, so moderation is key, especially for those with iodine deficiency or hypothyroidism. However, the latest studies indicate that including brassica vegetables in the daily diet, particularly when accompanied by adequate iodine intake, poses no adverse effects on thyroid function.(20)
-
Gluten:
-
Gluten has been linked to autoimmune thyroid conditions, particularly Hashimoto's thyroiditis. Some individuals may benefit from a gluten-free diet to reduce inflammation and autoimmune activity. A Mediterranean gluten-free diet has been found to increase Free T3 hormone levels in patients with Hashimoto's thyroiditis, possibly due to its anti-inflammatory effects and loss of body weight.(21)
-
Gluten has been linked to autoimmune thyroid conditions, particularly Hashimoto's thyroiditis. Some individuals may benefit from a gluten-free diet to reduce inflammation and autoimmune activity. A Mediterranean gluten-free diet has been found to increase Free T3 hormone levels in patients with Hashimoto's thyroiditis, possibly due to its anti-inflammatory effects and loss of body weight.(21)
-
Processed Foods:
- Highly processed foods often contain unhealthy fats (like processed seed oils), sugars, and additives that can disrupt hormonal balance and contribute to inflammation.(22) Instead, focus on whole, nutrient-dense foods.

Lifestyle Factors Influencing Thyroid Health
Stress Management
Chronic stress elevates cortisol levels, impairing the conversion of T4 to T3 and exacerbating thyroid dysfunction.(23) Stress management techniques include:
- Mindfulness and Meditation: Mindfulness meditation can reduce cortisol levels and improve well-being.
- Yoga: Combines physical movement with breath control and relaxation, helping to manage stress.
- Deep Breathing: Simple breathing exercises can activate the parasympathetic nervous system, promoting relaxation.
Sleep Quality
Poor sleep disrupts the circadian rhythm and can impair thyroid function. For example, daily TSH secretion profiles are disrupted in some patients with hypothyroidism and hyperthyroidism.(24) Tips for better sleep include:
- Consistent Sleep Schedule: Go to bed and wake up at the same time every day, even on weekends. This balances the circadian rhythm of hormonal secretion.
- Sleep Environment: Keep your bedroom dark, cool, and quiet. Avoid screens and stimulating activities before bed.
- Sleep Duration: Aim for 7-9 hours of quality sleep per night.
Physical Activity
Regular exercise supports metabolism, reduces inflammation, and enhances overall health. However, excessive exercise can stress the body and potentially disrupt thyroid function. The relationship between physical activity and thyroid function is not clear, though.(25) Recommendations include:
- Aerobic Exercise: For example, walking, cycling or swimming for 150 minutes per week.
- Strength Training: Resistance exercises 2-3 times weekly to build muscle and support metabolism.
- Flexibility and Balance: Practices like yoga or tai chi to improve mobility and reduce stress.
Environmental and Toxin Considerations
Reduce Exposure to Endocrine Disruptors
Endocrine-disrupting chemicals (EDCs) can interfere with thyroid function.(26) Common EDCs include:
- BPA: Found in plastics, canned goods, and receipts. Opt for BPA-free products and reduce plastic use.
- Phthalates: Present in personal care products, plastics, and fragrances. Choose phthalate-free cosmetics and cleaning products.
- Pesticides: Use organic produce when possible and wash fruits and vegetables thoroughly.
Support Detoxification Pathways
-
Liver Health: The liver is critical in converting T4 to T3.(27) Read a comprehensive article on liver detoxification here. Support liver function with:
- Antioxidant-Rich Foods: Berries, leafy greens, and nuts.
- Hydration: Drink plenty of water to support detoxification.
- Herbal Support: Milk thistle and dandelion root may benefit liver health.
-
Gut Health: A healthy gut microbiome is essential for thyroid health. Promote gut health with:
- Probiotics : Found in yogurt, kefir, sauerkraut, and kimchi.
- Prebiotic Fiber: Found in garlic, onions, bananas, and asparagus.
- Anti-Inflammatory Foods: Turmeric, ginger, and omega-3-rich foods.
The Autoimmune Diet Protocol for Hashimoto's Disease
Hashimoto's thyroiditis, the most common autoimmune thyroid disorder, occurs when the immune system mistakenly attacks the thyroid gland, leading to inflammation and impaired thyroid function.
The autoimmune diet protocol focuses on removing triggers that cause inflammation and gut dysfunction, which are central to autoimmune diseases. Individuals can reduce inflammation and promote healing by eliminating harmful foods and incorporating nutrient-dense options.(28)

Key Components of the Autoimmune Diet Protocol
Foods to Remove
- Grains and Gluten: Including gluten-free grains can cause inflammation and trigger autoimmune responses.
- Dairy Products: Especially from sheep and goat's milk, can trigger inflammation.
- Legumes: Such as beans, lentils, peas, soy, and peanuts, can irritate the gut.
- Nightshades: Including potatoes, eggplant, tomatoes, and peppers, can trigger inflammation in some individuals.
- Seeds and Nuts: Including seed-based spices, can cause inflammation and are often mold-contaminated.
- Processed Foods and Sugars: Contain harmful additives and sugars that promote inflammation.
- Eggs: Egg whites, especially, contain avidin, a protein that can trigger reactions.
- Alcohol and Stimulants: Including caffeine can disrupt gut health and increase inflammation.
- Foods Causing Allergies or Sensitivities: These should be avoided if they are known to cause reactions.
Foods to Incorporate:
- Organic and Unprocessed Foods: Prioritize organic produce to minimize pesticide exposure and environmental toxins.
- Vegetables: Focus on non-nightshade varieties like leafy greens, broccoli, cauliflower and asparagus. Beware of possible goitrogens if you have low iodine levels.
- Fruits: Opt for low-sugar options like berries, citrus fruits and apples.
- Meat and Poultry: Choose grass-fed, pasture-raised options to avoid hormones and antibiotics.
- Wild-caught fish: Rich in omega-3 fatty acids, which reduce inflammation.
- Healthy Fats: Include avocado, extra-virgin olive oil, and coconut oil for their anti-inflammatory properties.
- Bone Broth: Rich in collagen and amino acids, it supports gut healing.
Supplemental nutrition should be similar to other thyroid disorders, focusing on fixing deficiencies and lowering inflammation (see earlier in this article).
The complete autoimmune protocol is found in the Gut Mastery ebook.
Medical Interventions and Monitoring
Regular Screening
Regular thyroid testing is essential for early detection and management of thyroid disorders. Key tests include:
- TSH: Measures thyroid-stimulating hormone, the primary marker of thyroid gland stimulation and functioning of the HPT-axis.
- Free T4 and Free T3: Assess the levels of active thyroid hormones.
- Thyroid Antibodies: To detect autoimmune thyroid conditions like Hashimoto's thyroiditis or Graves' disease.
BONUS: Reverse T3: Elevated levels may indicate impaired thyroid hormone conversion. These are often linked to stress, illness or nutrient deficiencies.
THYROTROPIN (TSH)
Thyrotropin (TSH), or thyroid-stimulating hormone, is produced in the pituitary gland, which is located below the cerebrum (see Thyroid hormone regulation above). TSH stimulates the thyroid to secrete thyroxine (80–90 %) and, to a lesser degree, triiodothyronine (10–20 %).
TSH is measured to determine the interaction between the central nervous system and the thyroid. An increase in TSH levels is detected in situations in which greater thyroid hormone production is required.
High TSH levels are indicative of subclinical hypothyroidism. High TSH, coinciding with low free T3 and T4 hormones, is a clear indication of hypothyroidism. Elevated TSH levels may also indicate iodine deficiency. A decrease in TSH levels is caused by hyperthyroidism, excessive thyroid medication or pituitary gland and/or hypothalamus malfunction.
Reference range: 0.5–3.6 mIU/L
Optimal (29): 0.5–1.4 mIU/L
THYROXINE, FREE (T4)
Testing free thyroxine (T4) levels is useful when assessing thyroid function and diagnosing thyroid diseases such as hyperthyroidism and hypothyroidism. Both high and low free thyroxine levels are linked to various temporary and chronic thyroid diseases. Thyroxine is the storage thyroid hormone secreted from the thyroid into the circulation. It has to be converted into triiodothyronine (T3), which is active on a cellular level. Hence, measuring the levels of free T3 is also important when comprehensively assessing thyroid function throughout the system.
Reference range: 9–19 pmol/L
No optimal range has been established in terms of mortality, the prevention of cardiovascular diseases, etc. Recommendations often suggest levels that fall in the reference range's middle or top third (not in the bottom third). The free thyroxine value in the healthy population is, on average, 15.07 ± 2.528 pmol/L when the reference range is 10.2–31 pmol/L. It suggests that the values of an individual not using thyroid medication should be near the middle of the reference range or closer to the upper limit.(30)
TRIIODOTHYRONINE, FREE (T3)
The thyroid produces and secretes triiodothyronine (10–20 %) and thyroxine (80–90 %). Together, these hormones regulate body temperature, metabolism and heart rate. Most of the triiodothyronine (T3) in the body is bound to carrier proteins. T3 that is not bound to protein is called free T3. Free T3 is immediately available for the physiological needs of the body. Therefore, It is measured to assess thyroid function on a cellular level or the level of thyroid medication.
Reference range: 2.6–5.0 pmol/L
No optimal range has been established in terms of mortality, the prevention of cardiovascular diseases, etc. Recommendations often suggest levels that fall in the reference range's middle or top third (not in the bottom third). The free triiodothyronine value in the healthy population is, on average, 4.43 ± 0.647 pmol/L when the reference range is 3.5–6.5 pmol/L. It suggests that the values of an individual not using thyroid medication should be near the middle of the reference range or closer to the upper limit.(31)
Additional Testing:
- Nutrient Levels: Evaluate iodine, selenium, zinc, iron, and vitamin D, which are critical for thyroid function. We recommend the Holohabits test, which includes other important markers such as amino acids.
- Gene test for deiodinase two enzyme: DIO2 affects the conversion of T4 to T3.(32)
- Cortisol and Adrenal Health: Chronic stress can disrupt the HPT axis and impair thyroid function. Cortisol levels (and testosterone) are also included in the Holohabits test kit.
- Gut Health: Tests for gut dysbiosis, leaky gut, or infections like H. pylori or small intestinal bacterial overgrowth (SIBO), which can influence thyroid health.
- Inflammation Markers: Measures like C-reactive protein (CRP) or interleukin-6 (IL-6) to assess systemic inflammation, a typical driver of thyroid dysfunction.
Treatment Options for Hypothyroidism
-
Medications :
- Levothyroxine: Synthetic T4, the standard treatment for hypothyroidism.
- Liothyronine: Synthetic T3, sometimes used in combination with T4. Rarely as a monotherapy.
- Natural Desiccated Thyroid (NDT): Derived from animal thyroid glands containing T4 and T3.
-
Supplements:
- Iodine: Optimize dosing based on urine test results. A typical dose is 150mikrog/day.
- Selenium, Zinc, Vitamin D and vitamin A: To support thyroid function.
- L-tyrosine: Tyrosine is an amino acid used for thyroid hormone synthesis.
N.b. Prescription drugs require a medical doctor's prescription, evaluation, and clinical follow-up.
Personalized Approach
Thyroid health is deeply personal and often influenced by genetic, environmental, and lifestyle factors. When optimizing thyroid function, a one-size-fits-all approach rarely works (e.g., levothyroxine for everyone). Instead, a personalized, comprehensive approach is essential for addressing the root causes of thyroid dysfunction and ensuring long-term health. Here is how you can work with a healthcare provider—particularly one trained in functional medicine —to optimize your thyroid health.
Understanding the Individual Nature of Thyroid Health
- Genetic Predisposition: Some individuals are genetically more susceptible to thyroid disorders, such as Hashimoto's thyroiditis or Graves' disease. Family history can provide valuable insights.
- Unique Triggers: Factors like stress, infections, nutrient deficiencies, or environmental toxins can trigger or exacerbate thyroid dysfunction in some people but not others.
- Symptom Variability: Thyroid symptoms can vary widely, even among individuals with the same diagnosis. For example, one person with hypothyroidism may experience severe fatigue, while another may struggle with weight gain or depression.
Thyroid health is dynamic, and personal needs may change over time. Regular monitoring ensures that the treatment plan remains effective. This includes the following:
- Follow-Up Testing: Repeat thyroid panels, nutrient levels, and other relevant tests every 3-6 months.
- Symptom Tracking: Pay attention to how you feel—energy levels, mood, digestion, and weight—and report changes to your provider.
- Adjustments: Based on test results and symptom progress, the treatment plan may need tweaks.
A personalized approach recognizes these differences and tailors interventions to your specific needs.
Conclusion
The thyroid gland, though small, plays a monumental role in regulating metabolism, energy production, and overall health. The thyroid influences nearly every cell in the body by producing thyroid hormones, primarily thyroxine (T4) and triiodothyronine (T3). When thyroid function is imbalanced, it can lead to a cascade of symptoms, from fatigue and weight changes to mood disturbances and metabolic dysfunction. This comprehensive guide has outlined the essential strategies for optimizing thyroid health, emphasizing the importance of nutrition, lifestyle, and medical interventions. By understanding the complex mechanisms of thyroid hormone production and regulation, individuals can take actionable steps to support their thyroid function and prevent potential disorders.
A personalized approach is key to achieving optimal thyroid health. This involves a tailored combination of nutrient-dense diets rich in iodine, selenium, zinc, and other essential vitamins, along with lifestyle modifications such as stress management, quality sleep and regular physical activity. Reducing exposure to environmental toxins and addressing underlying health conditions can further support thyroid function. Regular medical screenings and adaptations based on individual needs ensure long-term health and well-being. By prioritizing these strategies, individuals can restore balance to their thyroid function, alleviate symptoms, and enhance their overall quality of life.
Scientific References:
- Hoermann, R., Midgley, J. E., Larisch, R., & Dietrich, J. W. (2016). Relational stability in the expression of normality, variation, and control of thyroid function. Frontiers in Endocrinology, 7, 142.
- Mondal, S., Raja, K., Schweizer, U., & Mugesh, G. (2016). Chemistry and biology in the biosynthesis and action of thyroid hormones. Angewandte Chemie International Edition, 55(27), 7606-7630.
- Chaker, L., Razvi, S., Bensenor, I. M., Azizi, F., Pearce, E. N., & Peeters, R. P. (2022). Hypothyroidism (primer). Nature Reviews: Disease Primers, 8(1).
- DeGroot, L. J. (2015). The non-thyroidal illness syndrome. Endotext [Internet].
- Lee, S. Y., & Pearce, E. N. (2023). Hyperthyroidism: a review. Jama, 330(15), 1472-1483.
- Grani, G., Sponziello, M., Pecce, V., Ramundo, V., & Durante, C. (2020). Contemporary thyroid nodule evaluation and management. The Journal of Clinical Endocrinology & Metabolism, 105(9), 2869-2883.
- Zimmermann, M. B. (2011, August). The role of iodine in human growth and development. In Seminars in cell & developmental biology (Vol. 22, No. 6, pp. 645-652). Academic Press.
- Rousset, B., Dupuy, C., Miot, F., & Dumont, J. (2015). Thyroid hormone synthesis and secretion.
- De Benoist, B., McLean, E., Andersson, M., & Rogers, L. (2008). Iodine deficiency in 2007: global progress since 2003. Food and nutrition bulletin, 29(3), 195-202.
- Utiger, R. D. (2006). Iodine nutrition—more is better. New England Journal of Medicine, 354(26), 2819-2821.
- Standing Committee on the Scientific Evaluation of Dietary Reference Intakes, Subcommittee of Interpretation, Uses of Dietary Reference Intakes, Subcommittee on Upper Reference Levels of Nutrients, & Panel on Micronutrients. (2002). Dietary reference intakes for vitamin A, vitamin K, arsenic, boron, chromium, copper, iodine, iron, manganese, molybdenum, nickel, silicon, vanadium, and zinc. National Academies Press.
- Maalouf, J., Barron, J., Gunn, J. P., Yuan, K., Perrine, C. G., & Cogswell, M. E. (2015). Iodized salt sales in the United States. Nutrients, 7(3), 1691-1695.
- Ortiga-Carvalho, T. M., Sidhaye, A. R., & Wondisford, F. E. (2014). Thyroid hormone receptors and resistance to thyroid hormone disorders. Nature Reviews Endocrinology, 10(10), 582-591.
- Sorrenti, S., Baldini, E., Pironi, D., Lauro, A., D’Orazi, V., Tartaglia, F., ... & Ulisse, S. (2021). Iodine: Its role in thyroid hormone biosynthesis and beyond. Nutrients, 13(12), 4469.
- Schomburg, L., & Köhrle, J. (2008). On the importance of selenium and iodine metabolism for thyroid hormone biosynthesis and human health. Molecular nutrition & food research, 52(11), 1235-1246.
- Severo, J. S., Morais, J. B. S., de Freitas, T. E. C., Andrade, A. L. P., Feitosa, M. M., Fontenelle, L. C., ... & do Nascimento Marreiro, D. (2019). The role of zinc in thyroid hormones metabolism. International Journal for Vitamin and Nutrition Research.
- Luo, J., Wang, X., Yuan, L., & Guo, L. (2021). Iron deficiency, a risk factor of thyroid disorders in reproductive-age and pregnant women: a systematic review and meta-analysis. Frontiers in endocrinology, 12, 629831.
- Kivity, S., Agmon-Levin, N., Zisappl, M., Shapira, Y., Nagy, E. V., Dankó, K., ... & Shoenfeld, Y. (2011). Vitamin D and autoimmune thyroid diseases. Cellular & molecular immunology, 8(3), 243-247.
- Simopoulos, A. P. (2002). Omega-3 fatty acids in inflammation and autoimmune diseases. Journal of the American College of nutrition, 21(6), 495-505.
- Galanty, A., Grudzińska, M., Paździora, W., Służały, P., & Paśko, P. (2024). Do Brassica Vegetables Affect Thyroid Function?—A Comprehensive Systematic Review. International Journal of Molecular Sciences, 25(7), 3988.
- Ülker, M. T., Çolak, G. A., Baş, M., & Erdem, M. G. (2024). Evaluation of the effect of gluten‐free diet and Mediterranean diet on autoimmune system in patients with Hashimoto's thyroiditis. Food Science & Nutrition, 12(2), 1180-1188.
- Tristan Asensi, M., Napoletano, A., Sofi, F., & Dinu, M. (2023). Low-grade inflammation and ultra-processed foods consumption: a review. Nutrients, 15(6), 1546.
- Sinha, S. R., Prakash, P., Keshari, J. R., Kumari, R., & Prakash, V. (2023). Assessment of Serum Cortisol Levels in Hypothyroidism Patients: A Cross-Sectional Study. Cureus, 15(12).
- Ikegami, K., Refetoff, S., Van Cauter, E., & Yoshimura, T. (2019). Interconnection between circadian clocks and thyroid function. Nature Reviews Endocrinology, 15(10), 590-600.
- Zhang, C., Han, Y., Gao, X., Teng, W., & Shan, Z. (2024). Thyroid function, physical activity and sedentary behaviour: A bidirectional two-sample Mendelian randomisation study. Journal of Global Health, 14, 04154.
- Guarnotta, V., Amodei, R., Frasca, F., Aversa, A., & Giordano, C. (2022). Impact of chemical endocrine disruptors and hormone modulators on the endocrine system. International journal of molecular sciences, 23(10), 5710.
- VISSER, T. J., KAPTEIN, E., TERPSTRA, O. T., & KRENNING, E. P. (1988). Deiodination of thyroid hormone by human liver. The Journal of Clinical Endocrinology & Metabolism, 67(1), 17-24.
- Abbott, R. D., Sadowski, A., & Alt, A. G. (2019). Efficacy of the autoimmune protocol diet as part of a multi-disciplinary, supported lifestyle intervention for Hashimoto’s thyroiditis. Cureus, 11(4).
- Åsvold, B. O., Bjøro, T., Nilsen, T. I. L., Gunnell, D., & Vatten, L. J. (2008). Thyrotropin levels and risk of fatal coronary heart disease: the HUNT study. Archives of internal medicine, 168(8), 855-860.
- Li, H., Yuan, X., Liu, L., Zhou, J., Li, C., Yang, P., ... & Qu, S. (2014). Clinical evaluation of various thyroid hormones on thyroid function. International journal of endocrinology, 2014(1), 618572.
- Li, H., Yuan, X., Liu, L., Zhou, J., Li, C., Yang, P., ... & Qu, S. (2014). Clinical evaluation of various thyroid hormones on thyroid function. International journal of endocrinology, 2014(1), 618572.
- Castagna, M. G., Dentice, M., Cantara, S., Ambrosio, R., Maino, F., Porcelli, T., ... & Salvatore, D. (2017). DIO2 Thr92Ala reduces deiodinase-2 activity and serum-T3 levels in thyroid-deficient patients. The Journal of Clinical Endocrinology & Metabolism, 102(5), 1623-1630.


